在自然界中,一些動物例如蝙蝠和海豚分析聲音或呼叫的回聲(稱為回聲定位的過程)以導航或尋找獵物。在工業應用中,超聲波傳感器使用來自超聲波的回波分析來確定物體的存在、位置或距離。

超聲波是以高于人類聽覺所能檢測到的頻率發出的聲波-通常高于20 kHz。
超聲波傳感器使用壓電陶瓷來發射和接收超聲波,在傳輸過程中將電能轉換為聲能,然后在接收過程中將聲能轉換回電能。通過分析回波的時間、失真或不存在,超聲波傳感器可以檢測物體的存在或位置,或測量到目標物體的距離。
用于工業應用的超聲波傳感器通常分為三種:漫射模式、逆反射和對射式。
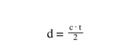
擴散模式是最常見的超聲波傳感器類型,使用單個換能器來發射和接收超聲波。一個簡單的公式可以計算物體與換能器的距離:

d=到物體的距離,單向(m)
c=指定介質中的聲速(m/s)
t=發射和接收之間的時間,也稱為飛行時間(s)
逆反射模式的相似之處在于它僅使用一個換能器進行發送和接收,但在逆反射模式中,超聲波通過單獨安裝的參考反射器不斷反射到換能器。當傳感器和參考反射器之間沒有物體時,傳感器會接收到來自反射器的恒定回波。但是如果物體進入感應范圍,回波的反射就會發生變化,傳感器通過回波的變化來檢測物體的存在。當被檢測物體吸收聲音或當其表面不易被檢測時,例如非常光滑或傾斜的表面時,通常使用此模式。

對于對射模式,發射器和接收器是沿公共軸彼此相對安裝的獨立設備。當物體干擾發射器和接收器之間的超聲波時,輸出信號被激活。對射式超聲波傳感器的檢測范圍是典型漫射模式或逆反射傳感器的兩倍。它們的開關頻率也可以比其他類型快得多。
當單個傳感器同時用作發射器和接收器時,它會遇到盲區傳感器前方無法檢測到物體的區域。這是因為傳感器不能同時發送和接收。盲區的大小取決于共振能量從傳輸到消散所需的時間。

由于對射式傳感器使用單獨的設備進行發射和接收,因此不會出現盲區。
輸出可以是與測量距離成比例變化的模擬電壓或電流值、表示位置的數字值或用于開/關操作的開關輸出。

超聲波傳感器幾乎適用于任何類型的目標介質,包括粉末和液體以及透明、高光澤或變色的物體。但是,吸收性材料(例如羊毛、棉花或泡沫)會降低感應距離和準確性。超聲波傳感器還可以抵抗影響其他類型傳感器的大多數干擾,例如振動、環境噪聲、灰塵、煙霧或薄霧。一些制造商提供密封在不銹鋼外殼中的設計,因此它們可以在惡劣環境中使用并滿足食品和飲料應用的衛生要求。
感應范圍取決于待檢測物體的表面特性和角度,但通??梢赃_到幾米,分辨率在0.1毫米范圍內,絕對精度(到非移動物體的距離測量精度)為1到3%。對于平坦且與傳感器成直角的表面,可實現最長的感應范圍。
因為它們依賴于超聲波的飛行時間,超聲波傳感器對影響波傳播速度的環境因素很敏感。例如,空氣溫度*會對超聲波傳感器的精度產生重大影響,因此它們通常包括溫度探頭和補償算法。并且在高溫下,空氣中的聲速受濕度的影響,隨著濕度的增加,聲速也隨之增加。

